河源福彩“邀您北京游”举行抽奖
本报讯 记者 郑婷影 通讯员 钟雯婧 6 月7 日上午,“走进双色球,邀您北京游”旅游奖现场公开抽奖仪式在河源市福彩中心顺利举行,在公证员、媒体记者、站点代表和彩民代表的共同见证下,经过角逐,35 名获旅游大奖的幸运彩民将双飞四天三晚“北京游”大奖收入囊中。
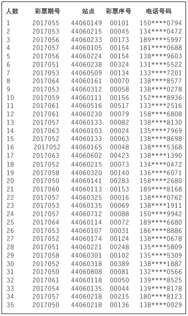
“走近双色球,邀您北京游”现场抽奖结果
(2017 年6 月7 日)

据了解,此次活动从5 月2 日(双色球第 2017050 期)至6 月4 日(双色球第2017064 期)共 15 期彩票中产生,凡在活动期间内,在河源市范围内所有福彩投注站用复式投注方式购买的,且单张彩票投注额在28元以上(含28元)的双色球彩票,均可参与本次幸运抽奖活动,中奖名额共35 名,可免费参加双飞四天三晚的“北京游”。
本次“走近双色球,邀您北京游”得到广大彩民的喜爱和支持,截至2017 年6 月5 日24 时,系统接受登记的票数总共为8501 张,其中有效票数7731张。
在抽奖现场,在公证人员的监督下,工作人员现场拆封数据光碟,将符合条件的7731 条彩票信息导入抽奖软件,由媒体记者、彩民代表等现场随机抽取,35 名幸运彩民在7 位现场公众 “幸运之手”的点击下产生了,这意味着这35 名幸运彩民获得了双飞四天三晚“北京游”旅游奖。为获奖彩民感到高兴之余,市福彩中心温馨提醒中奖者须在2017 年6 月14 日下午5:30 前,凭本人身份证原件、被抽中的彩票原件到市福彩中心办理中奖确认手续。
错过这次活动的彩民朋友不用急,今年下半年,我市福彩还将举行“走进刮刮乐,邀您北京游”促销活动。机会难得,不容错过,赶快来参与吧,河源福彩约定您!
相关阅读
热点图片
- 头条新闻
- 新闻推荐
最新专题

- 强国必先强教,强教必先强师。今年9月10日是我国第41个教师节,主题是“以教育家精神铸魂强师,谱写教育强国建设华章”。

