例谈有机化合物的推断
近年来,化学高考有机化合物推断的题目涉及知识点多,综合性强,需要一定的推理和计算能力。这种题目灵活多样,有多种类型,能有效地考查考生运用有机化学的基础知识进行分析、推理、判断和综合的逻辑思维能力及自学、分析解决问题的能力。解答这类题目的关键必须根据有机物的性质、相互衍生关系、有机物的组成以及题中所给的其他信息,经过分析、推理甚至计算从而作出正确的判断。下面从四个方面来谈有机化合物的推断:
一、根据有机物的性质推断
例1:化学式为C H O 的化合物A 具有如下性质:
①A+Na→慢慢产生气泡
②A+RCOOH 有香味的产物
③A 苯甲酸
④其催化脱氢产物不能发生银镜反应
⑤脱水反应的产物,经聚合反应中可制得一种塑料制品(它是目前主要的“白色污染”源之一)。
试回答:
(1)根据上述信息,对该化合物的结构可作出的判断是__________(多选扣分) A.苯环上直接连有羟基B. 肯定有醇羟基C.苯环侧链末端有甲基D. 肯定是芳香烃
(2) 化合物A 的结构简式 _______________。
(3)A 和金属钠反应的化学方程式 _____________________。
分析:性质①说明化合物A 有羟基;性质②A 能与羧酸发生酯化反应,说明A 有醇羟基;性质③说明A 有苯环结构并且苯环上只有一个侧链;性质④A 脱氢(即发生氧化反应) 生成的羰基不是醛,不在链端,所以 A 中羟基在碳链中间,链端有甲基;性质⑤ 说明A 有脱水产物(即消去反应产物) 是不饱和的,可以聚合生成高分子化合物。结合 A 的化学式C H O 对化合物A 的结构可作出的判断是B、C。
答案:(1)B、C
评注:做此类题要认真全面审题,牢记有机物的结构决定物质的性质,有机物的性质反映有机物的结构。根据性质推断有机物的常用技巧和方法有:
1.根据官能团的特征性质进行推理判断。如:能发生银镜反应的有机物含有“- CHO”;能与Na CO 溶液反应产生CO 的有机物含有“-COOH”等。
2.根据有机物之间的相互衍生关系进行综合分析加以推断。
(1)烯烃、卤代烃和醇的三角关系,即它们之间的相互转化关系。
(2)醛既可以加氢得到醇,也可以氧化得到羧酸,还可以自身加成得羟基醛(增长碳链)。
(3)“ 酯化反应”的扩展
①一元羧酸与一元醇反应只生成普通酯。
② 二元羧酸与二元醇反应既可生成普通酯,又可生成环状酯,还可生成高聚酯。
3.根据有机物的性质和相关数据推知官能团的个数。
如关系式:RCHO ~ 2Ag ~ Cu O 2ROH~H ;2RCOOH~CO ~CO
4.根据反应产物推知官能团的位置。如醇能氧化为醛或羧酸, 则醇分子中应含有结构“ - CH OH”; 由消去反应的产物可确定“ - OH” 或“ - X” 的位置。
二、基本计算法
基本计算法推断有机物分子式和结构式的基本思路:
例2:已知某有机物有如下性质:
1.不和碳酸钠反应;
2.它的蒸气对氢气的相对密度为46.0;
3.取1.84g 此有机物与过量的金属钠完全作用后,生成气体672毫升(标准状况);
4.一定量的此有机物完全燃烧后,产生的气体依次通过浓硫酸和碱石灰,使两者的质量分别增加36.0g 和66.0g。试求此有机物的结构简式。
分析:根据题意有:
1.不和碳酸钠反应,说明不含羧基;
2.它的蒸气对氢气的相对密度为46.0,说明摩尔质量为92g/mol ;
3.取1.84g 此有机物与过量的金属钠完全作用后,生成气体672 毫升(标准状况),也就是说0.02 摩尔该物质能与钠反应得到0.03 摩尔氢气。
4.定量的此有机物完全燃烧后,产生的气体依次通过浓硫酸和碱石灰,使两者的质量分别增加36.0g (2 摩尔水) 和66.0g (1.5 摩尔二氧化碳),说明该有机物中C:H 个数比为1.5:4=3:8。根据摩尔质量为92g/ mol,可推知有3 个碳原子,8 个氢原子,另外还有3 个氧原子,即该物质为丙三醇(符合1.84g 此有机物与过量的金属钠完全作用后,生成气体672 毫升),结构简式为 CH OH-CH(OH)-CH OH。
三、最简式法
根据分子式为最简式的整数倍,因此利用相对分子质量及求得的最简式可确定其分子式,如烃的最简式的求法为:最简式为 CaHb,则分子式为(CaHb)n
n=M/(12a+b)(M 为烃的相对分子质量, 12a+ b 为最简式的式量)
例3:某气态烃含碳85.7%,氢14.3%。标准状况下,它的密度是1.875 g /L,则此烃的化学式是_______。
分析:M=1.875g /L·22.4 L/mol=42g/ mol。
C:H(个数比)=( 85.7%/12):(14.3%/1)=1:2,最简式为CH ,该烃的化学式可设为(CH )n,最简式式量为14,相对分子质量为42,n=3,此烃为C H 。
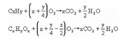
四、有机物燃烧通式法
有机物燃烧的通式为:
例4:1 体积某有机物蒸气恰好与4 体积氧气反应,反应后混合气体的密度减少1/6 (体积都在1、150 ℃和1.01×105Pa 时测得),则此有机物的分子式是( )。
A. C H B. C H O C. C H O D. C H O
分析:根据通式符合此关系的为B、D 两项,又根据反应后气体的密度减少 1/6,即必须满足反应后体积是反应前体积的 6/5 倍,C H O+4O 3CO +3H O, D项符合条件。
:利用有机物燃烧通式,必须抓住以下关键:①气体体积变化;②气体压强变化;③气体密度变化;④混合物平均相对分子质量等,同时可结合差量法、平均值法、十字交叉法、讨论法等技巧来求得有机物的分子式。
上一篇:以校园文化促“三风”建设
下一篇:中国海啸预警机制建立 近海两分钟可发出预警
热点图片
- 头条新闻
- 新闻推荐
最新专题

- 强国必先强教,强教必先强师。今年9月10日是我国第41个教师节,主题是“以教育家精神铸魂强师,谱写教育强国建设华章”。






